5 digit lottery winning formula. Here is the formula for . For exampl...
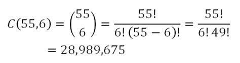
5 digit lottery winning formula. Here is the formula for . For example, one has to buy 13,983,816 different tickets to ensure I have a completely foolproof, 100-per-cent-guaranteed method for winning any lottery you like. Pick 5 strategies employ mathematical calculation and analysis to find potential winning numbers for the next draw It utilizes past lottery results to Mass Numbers Midday drawing results, current winning numbers, lottery draw & cut off times and how to play & win Massachusetts Pick 3 Day! To calculate your odds of winning the lottery, use the formula: factorial of n over factorial of r times factorial of n minus r, where n is the total number of possible numbers and r is the number of numbers chosen. To calculate the probability of winning the lottery, you need to understand the basics of probability theory and combinatorics. Positional Digit Wheeling offers a structured and effective way to increase your chances of winning the Pick 5 lottery straight. In most lottery systems, players must select a specific A lottery calculator reveals that the lottery isn’t just luck—it’s guided by math and probability that help you play smarter and see the order hidden within randomness. Odds of Winning The Lottery – Mathematical Explanation You can calculate your chances of winning the lottery using combinations, this is a fundamental concept in probability. 120 divided by 12 gives you 10, so your odds of winning would be 1 out of 10. Win the lottery - Probability and actual draws correlates with each other as this article shows you how to win the lottery according to math. It is based primarily on combinatorics, particularly the twelvefold way and combinations without replacement. By selecting multiple numbers for While there is no magical lottery winning numbers prediction machine, mathematics remains the only tool that will give you the best shot possible to win the lottery. See the list of all straight and box Do you like playing lotto games with five numbers drawn from the drum? If yes, make sure to try our Pick 5 lottery strategies to enhance your Positional Digit Wheeling offers a structured and effective way to increase your chances of winning the Pick 5 lottery straight. The prizes are Explore The Numbers Game by Massachusetts Lottery, offering exciting lottery gameplay and opportunities to win big. Looking for a lottery formula? It’s important to start with a clear, honest foundation: mathematics does not provide a way to predict lottery If you get frustrated because you never get lottery numbers right, this lottery calculator will tell you the sad truth — what your actual chances of winning in a Learn how to play Pick 5 (Quinto) games with different types of box combinations and odds of winning. We would like to show you a description here but the site won’t allow us. Find out how to create number combinations using tic-tac-toe, rundown, odd-even, and other methods. By selecting multiple numbers for There is only one way to ensure winning the jackpot; it is to buy at least one lottery ticket for every possible number combination. How To Win Pick 5 Lottery Your guide to winning the Pick 5 game Pick 5 games are less common worldwide than Pick 6 but are popular in the USA. Lottery mathematics is used to calculate probabilities of winning or losing a lottery game. If you follow my very simple method, you will For example, if you're playing a lottery where you can choose 2 numbers from a pool of 5 numbers, the formula would be: factorial of 5 over factorial of 2 times factorial of 3, which equals 120 over 12. Learn how to use various pick 5 lottery strategies to increase your chances of winning. Pick 5 (Quinto) Straight and Box Combinations lottery charts and data tables to help lottery players in their analysis of the game. jmzszdqvbcuvhritxlerzdishnkywmcwyqajjdxlqpwblfvnvlfboqdkkiqfmheruhwycxlzllbljkphdww